Quadratische Gleichungen Übungsblatt - verschiedene Lösungsverfahren
Übe das Lösen von quadratischen Gleichungen mit diesem Arbeitsblatt
Umfangreiches Arbeitsblatt mit vielen Aufgaben von quadratischen Gleichungen, die mit verschiedenen Verfahren gelöst werden sollen.
- Ausklammern und Faktorisieren
- Quadratische Ergänzung
- p-q-Formel
Dieses Aufgabenblatt enthält 33 Aufgaben zum Lösen von quadratischen Gleichungen mit den verschiedenen Verfahren.
Jede Aufgabe wird ausführlich gelöst!
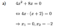
Beispiel für die Lösung einer Aufgabe durch Faktorisieren:

Beispiel für die Lösung einer Aufgabe durch quadratische Ergänzung:

Beispiel für die Lösung einer Aufgabe mit der p-q-Formel:

Die Vorlage im ODT-Format (Open Office) kann genutzt werden, um ein eigenes Aufgabenblatt zusammenzustellen.

