Bestimme die Flächeninhaltsfunktion zu 5 einfachen Funktionen und bestimme den Flächeninhalt.
Löse folgende Aufgabe:
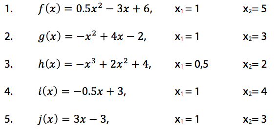
Bestimme zu folgenden Funktionen
- die Flächeninhaltsfunktion.
- den Flächeninhalt unter dem Graphen der Funktion innerhalb der angegebenen Grenzen von x1 bis x2 rechnerisch.
- den Graphen der Funktion mit GeoGebra.
- den Flächeninhalt mit GeoGebra.
zu folgenden Funktionen:


Arbeitsblatt Flächeninhaltsfunktion (PDF)